Derivation of isotherm     III. Discussion of modified Langmuir isotherm

Final form of modified Langmuir adsorption isotherm

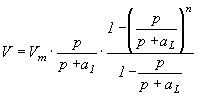
From Equation 8 , the final form of the modified Langmuir adsorption isotherm can be obtained
 
Equation 9

where Vm, a1, aL, and n are adjustable parameters.
Derivation of isotherm     III. Discussion of modified Langmuir isotherm