Assumptions     Final form of modified Langmuir adsorption isotherm

Derivation of isotherm

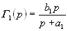
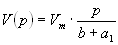
The monomolecular adsorption is described by Equation 1 :
Equation 1

where S is the surface area,  is the absolute isotherm (expressed per unit of the surface area), b is the temperature dependent parameter,  a1 is the intensive parameter connected with adsorption energy in the first layer: a1 = a0.exp(-Ea/RT), and Vm is the monolayer capacity.

The polimolecular adsorption is given as
Equation 2

where  is the amount adsorbed in the jth layer on the unit of the surface area of adsorbent.

For the following layers:
 
 
Equation 3

where  and  are the surface area accessible (surface coverage) for 2nd and 3rd layer, respectively.
The general expression is then
 
Equation 4


 
Equation 5

where bj corresponds to the maximum amount adsorbed in the given layer on the absolute isotherm.

Assuming that b1 = b2 = ... = bn = b and for i>1: a2 = a3 = ... = an = aL

where aL is the intensive parameter connected with the heat of  liquefaction ,

and taking into the account Equation 5 we obtain
 
 
Equation 6

where

is decreasing geometric series in which any term has a form:
 
Equation 7

After adding up the terms of this geometric series we obtain
 
Equation 8
Assumptions     Final form of modified Langmuir adsorption isotherm